• Предмет: Математика
  • Автор: fussballdeutch10
  • Вопрос задан 3 года назад

Помогите плиззззззЗ!!!

Приложения:

Ответы

Ответ дал: CVita
1
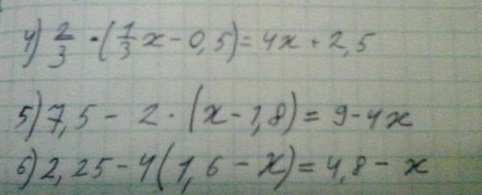
 \frac{2}{3}( \frac{1}{3}x-0.5)=4x+2.5 \\  \\  \frac{2}{3}( \frac{1}{3}x- \frac{1}{2})=4x+ \frac{5}{2}  \\  \\  \frac{2}{9}x- \frac{2}{6}=4x+ \frac{5}{2} \\  \\  \frac{2}{9}x- \frac{36}{9}x= \frac{5}{2}+ \frac{2}{6}  \\  \\ - \frac{34}{9}x= \frac{17}{6} \\  \\ x= -\frac{17}{6}* \frac{9}{34}= - \frac{3}{4}

7.5-2(x-1.8)=9-4x \\ 7.5-2x+3.6=9-4x \\ 2x+4x=9-7.5-3.6 \\ 2x=-2.1 \\ x=-1.05

2.25-4(1.6-x)=4.8-x \\ 2.25-6.4+4x=4.8-x \\ 4x+x=4.8-2.25+6.4 \\ 5x=8.95 \\ x=1.79

fussballdeutch10: а еще два?
Вас заинтересует