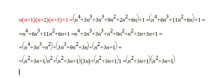
Представить в виде произведения двух многочленов выражение n(n+1)(n+2)(n+3)+1 Помогите пожалуйста~
Ответы
Ответ дал:
0
================================================
Приложения:
Вас заинтересует
3 года назад
3 года назад
8 лет назад
8 лет назад
11 лет назад
11 лет назад
11 лет назад