Ответы
Ответ дал:
0
Мой друг,неравенства такого вида заменяются на скобку с двумя неравенствами,о знаках которых нужно порассуждать:
когда при делении выражений друг на друга получатся неотрицательные решения,но тут ОПА - ищем отрицательные,на нуль делить нельзя.
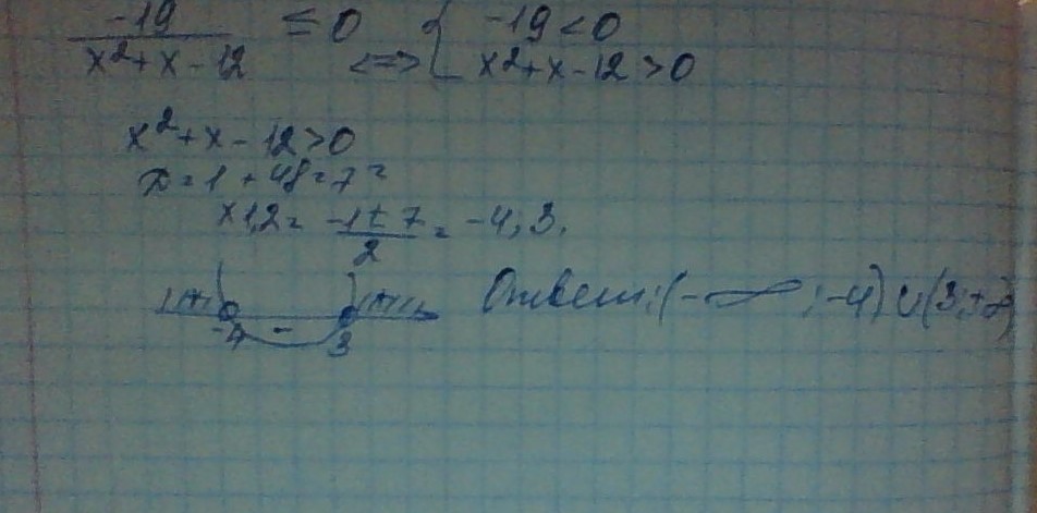
Вот,что выпадает,и вот,какую "простоту" остаётся решить:
когда при делении выражений друг на друга получатся неотрицательные решения,но тут ОПА - ищем отрицательные,на нуль делить нельзя.
Вот,что выпадает,и вот,какую "простоту" остаётся решить:
Приложения:
Ответ дал:
0
f(x)=
x^2+x-12=0
D=1+4*12=49=
x1=6/2=3
x2=-8/2=-4
Далее будет рисунок. Простите уж за мои руки ><
x^2+x-12=0
D=1+4*12=49=
x1=6/2=3
x2=-8/2=-4
Далее будет рисунок. Простите уж за мои руки ><
Приложения:
Вас заинтересует
2 года назад
2 года назад
2 года назад
2 года назад
7 лет назад
7 лет назад
9 лет назад
9 лет назад