• Предмет: Алгебра
  • Автор: nastya19992811
  • Вопрос задан 11 лет назад

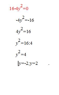
16-4Y^2 = 0 как решить уравнение ?

Ответы

Ответ дал: Milli205
0

16-4Y^2 = 0

4-y^2=0

(2-y)(2+y)=0

y=2   y=-2

Ответ дал: triolana
0

===========================================

Приложения:
Вас заинтересует