• Предмет: Математика
  • Автор: mironovaledi
  • Вопрос задан 2 года назад

При каких значениях х выражения будут равны?

Приложения:

Ответы

Ответ дал: maurer22
1
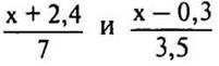
  \frac{x+2,4}{7}   и  \frac{x-0,3}{3,5}

домножим вторую дробь на 2, чтобы приравнять к знаменателю первой дроби

 \frac{x+2,4}{7}   и  \frac{2x-0,6}{7}

х+2,4=2х-0,6
х-2х=-0,6-2,4
-х=-3
х=3


Ответ дал: Тамблер
1
(х+2,4)х3,5=7(х-0,3)
3,5х+8,4=7х-2,1
3,5х-7х=-2,1-8,4
-3,5х=-10,5
х=3
Вас заинтересует