• Предмет: Алгебра
  • Автор: Uksi01
  • Вопрос задан 2 года назад

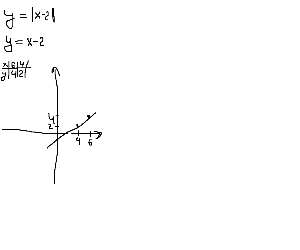
Как построить график функций с модулем y = |x-2| ?

Ответы

Ответ дал: КаТюХа096
1
я думаю что так а там кто знает ))
Приложения:
Вас заинтересует