Ответы
Ответ дал:
0
7/60
1 16/45. Скажи там на минус или что.Я просто на минус делала .Если надо перерешаю
1 16/45. Скажи там на минус или что.Я просто на минус делала .Если надо перерешаю
Рамелла:
я думаю, что должно быть умножение и деление
Ответ дал:
0
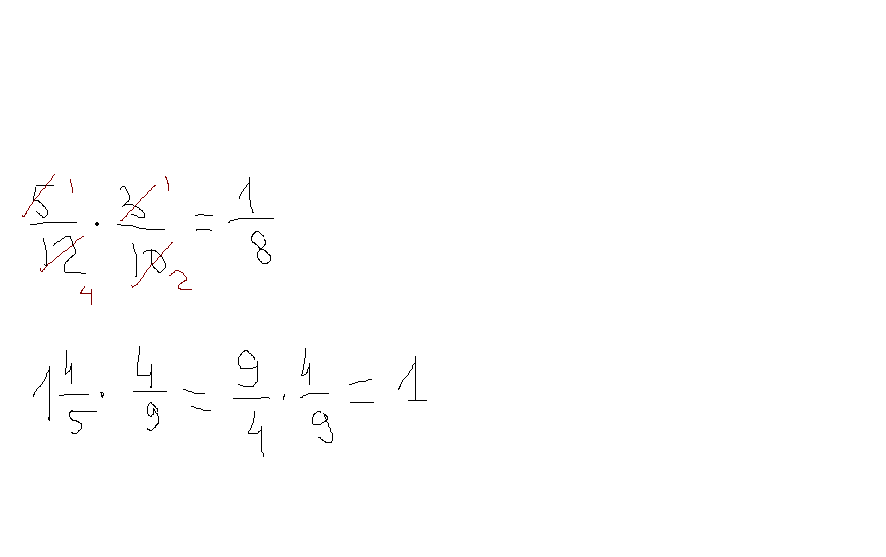
Чтобы найти дробь от числа, надо число умножить на дробь!
Приложения:

Вас заинтересует
2 года назад
2 года назад
2 года назад
7 лет назад
7 лет назад
9 лет назад
9 лет назад