Ответы
Ответ дал:
1
сложные эфиры -соединения производные карбоновых кислот, в молекулах которых содержится два углеводородных радикала соединенных через атом кислорода(эфирную связь)
общая формула: R - O R' (R- углеводородные радикалы разные или одинаковые)
физ.св-ва:
сложные эфиры - бесцветные жидкости, некоторые кристаллические в-ва. Большинство имеет приятный запах. Кипят при более низких температурах.
хим. св-ва:
простые эфиры химически инертные вещества.
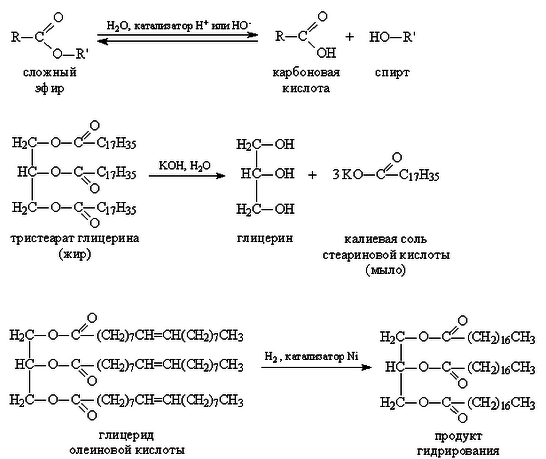
1)Они подвергаются гидролизу в присутствии кислоты или щелочи:
CH₃COOCH₃ + H₂O --> CH₃COOH + CH₃OH (уксусная к-та и метанол)
2) др. св-ва в фото.
применение:
Этилформиат НСООС₂Н₅ и этилацетат Н₃СООС₂Н₅ используются как растворители целлюлозных лаков (на основе нитроцеллюлозы и ацетилцеллюлозы).Сложные эфиры на основе низших спиртов и кислот. используют в пищевой промышленности при создании фруктовых эссенций, а сложные эфиры на основе ароматических спиртов – в парфюмерной промышленности.Из восков изготавливают политуры, смазки, пропиточные составы для бумаги (вощеная бумага) и кожи, они входят и в состав косметических кремов и лекарственных мазей
общая формула: R - O R' (R- углеводородные радикалы разные или одинаковые)
физ.св-ва:
сложные эфиры - бесцветные жидкости, некоторые кристаллические в-ва. Большинство имеет приятный запах. Кипят при более низких температурах.
хим. св-ва:
простые эфиры химически инертные вещества.
1)Они подвергаются гидролизу в присутствии кислоты или щелочи:
CH₃COOCH₃ + H₂O --> CH₃COOH + CH₃OH (уксусная к-та и метанол)
2) др. св-ва в фото.
применение:
Этилформиат НСООС₂Н₅ и этилацетат Н₃СООС₂Н₅ используются как растворители целлюлозных лаков (на основе нитроцеллюлозы и ацетилцеллюлозы).Сложные эфиры на основе низших спиртов и кислот. используют в пищевой промышленности при создании фруктовых эссенций, а сложные эфиры на основе ароматических спиртов – в парфюмерной промышленности.Из восков изготавливают политуры, смазки, пропиточные составы для бумаги (вощеная бумага) и кожи, они входят и в состав косметических кремов и лекарственных мазей
Приложения:

Вас заинтересует
2 года назад
2 года назад
2 года назад
7 лет назад
9 лет назад