Ответы
Ответ дал:
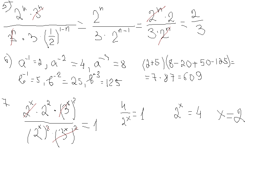
1
Ну, как-то так получается!
Приложения:

LizochkaN:
Я 6 номер не очень поняла ,модно с подробностями как и что пожалуйста ))))
Вас заинтересует
2 года назад
2 года назад
2 года назад
2 года назад
7 лет назад