Помогите решить систему уравнений, пожалуйста!)
Приложения:

MAGA2555:
просто решить или как
Ответы
Ответ дал:
1
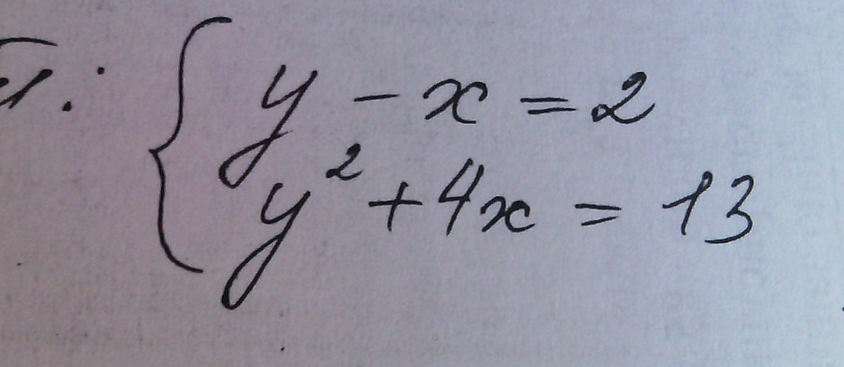
4y-4x=8
y²+4x=13
y²+4y=21
y²+4y-21=0
y1=-7 x=y-2 x1=-9
y2=3 x2=1
(-9;-7);(1;3)
y²+4x=13
y²+4y=21
y²+4y-21=0
y1=-7 x=y-2 x1=-9
y2=3 x2=1
(-9;-7);(1;3)
Вас заинтересует
2 года назад
2 года назад
2 года назад
2 года назад
7 лет назад
7 лет назад
9 лет назад