• Предмет: Алгебра
  • Автор: 246691
  • Вопрос задан 2 года назад

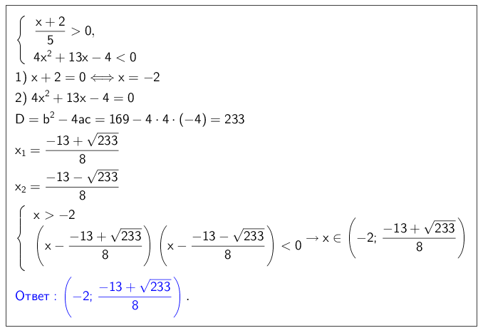
Решите систему неравенств

Приложения:

Ответы

Ответ дал: SkyBy
1
Смотрите решение в прикреплённом файле.
Приложения:
Вас заинтересует