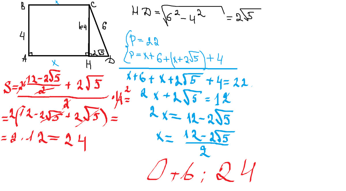
периметр трапеции равен 22 дм боковая сторона=6 и 4 см h=4 дм нацти площадь
ololololoshenka:
там6 и 4 дм,а не см
Ответы
Ответ дал:
2
вот решение на рисунке
Приложения:

Вас заинтересует
2 года назад
2 года назад
2 года назад
7 лет назад
7 лет назад
9 лет назад