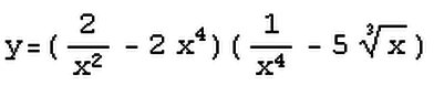
Найдите производную функции.
Пожалуйста помогите с этим заданием :З
Приложения:
oganesbagoyan:
что требуется (вопрос) ?
Найти производную функции
Ответы
Ответ дал:
1
y ' =(2/x² -2x^4) ' *(1/x^4 -5∛x) + (2/x^2 - 2x^4) *(1/x^4 -5∛x) ' =
( 2*(x)^(-2) - 2x^4) ' (1/x^4 -5∛x) + (2/x^2- 2x^4) *(x^(-4) - 5x^(1/3)) '=
(- 4x^(-3) - 2*4x^3)(1/x^4 -5∛x) + (2/x^2- 2x^4) *(-4x^( - 5) - 5*1/3*x^(1/3 -1))=
(- 4/x³ - 8x³)(1/x^4 - 5∛x) + (2/x^2- 2x^4) ( -4 /x^5 -5/3∛x²) .
-------------------------------------------------------------------------------------------
y =u*v; производная произведения (правила):
y ' =u ' *v + u*v ' .
( 2*(x)^(-2) - 2x^4) ' (1/x^4 -5∛x) + (2/x^2- 2x^4) *(x^(-4) - 5x^(1/3)) '=
(- 4x^(-3) - 2*4x^3)(1/x^4 -5∛x) + (2/x^2- 2x^4) *(-4x^( - 5) - 5*1/3*x^(1/3 -1))=
(- 4/x³ - 8x³)(1/x^4 - 5∛x) + (2/x^2- 2x^4) ( -4 /x^5 -5/3∛x²) .
-------------------------------------------------------------------------------------------
y =u*v; производная произведения (правила):
y ' =u ' *v + u*v ' .
спасибо, но у меня как раз затруднения в том, чтобы считать скобки...
можно так и оставить
неа, надо хотябы скобки раскрыть, а когда я их раскрываю, то получается каша и вот когда раскрываешь скобки, то уже можно оставлять так :(((((( всё очень плохо :(((
Вас заинтересует
2 года назад
2 года назад
7 лет назад
7 лет назад