Нужно решить 2 примера.
Очень срочно.
За 30 баллов.
Help me..
Приложения:
KlementinaKlem:
или хотя бы один.
Ответы
Ответ дал:
1
1)
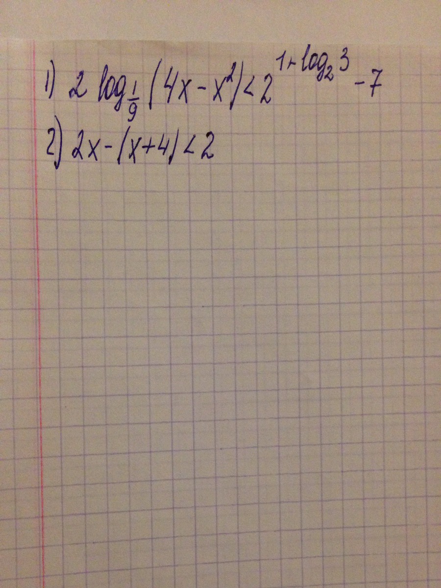
2Log(_1/9) (4x-x²) < 2^(1+Log(_2) 3) -7;
2/(-2)*log(_3) (4x- x²) <2*2^(Loq(_2) 3) -7;
- Log(-3) (4x -x²) < 2 *3 -7;
Loq(_3)(4x -x²) > 1;
4x -x² >3;
x² -4x +3< 0 ;
(x-1)(x-3) <0 ;
ответ : x∈ (1;3).
2)
2x -|x +4| <2;
|x+4 | > 2x -2;
a) x+4 <-(2x-2) ;
x> -2/3 x∈( - 2/3 ;-∞) ;
b) x+4 >2x-2;
x <6 x∈ ( -∞ ;6) ;
x∈( - 2/3 ;-∞) U ( -∞ ;6) ;
ответ : x ∈ ( -∞ ;∞).
*************************************
совокупность неравенств :
[ x+4 > 2x-2; x+4 < -(2x-2)
2Log(_1/9) (4x-x²) < 2^(1+Log(_2) 3) -7;
2/(-2)*log(_3) (4x- x²) <2*2^(Loq(_2) 3) -7;
- Log(-3) (4x -x²) < 2 *3 -7;
Loq(_3)(4x -x²) > 1;
4x -x² >3;
x² -4x +3< 0 ;
(x-1)(x-3) <0 ;
ответ : x∈ (1;3).
2)
2x -|x +4| <2;
|x+4 | > 2x -2;
a) x+4 <-(2x-2) ;
x> -2/3 x∈( - 2/3 ;-∞) ;
b) x+4 >2x-2;
x <6 x∈ ( -∞ ;6) ;
x∈( - 2/3 ;-∞) U ( -∞ ;6) ;
ответ : x ∈ ( -∞ ;∞).
*************************************
совокупность неравенств :
[ x+4 > 2x-2; x+4 < -(2x-2)
Вас заинтересует
2 года назад
2 года назад
2 года назад
7 лет назад
7 лет назад
9 лет назад