скажите, пожалуйста, решение задачи, а то я не могу:
Стоят два состава с вагонами. В первом составе на 12 вагонов больше, чем во втором. После того как из каждого состава убрали по 6 вагонов, то в первом составе стало в 4 раза больше, чем во втором. Сколько вагонов было в обеих составах первоначально?
Заранее спасибо!!!( дам 70 пунктов )
Ответы
Ответ дал:
1
Пусть Х вагонов в первом составе, тогда во втором Х + 12. Отцепили по 6 вагонов,
Х - 6 + Х + 12 - 6 и получим:
(Х - 6) * 4 + Х + 12 - 6 = Х - 6 + Х + 12 - 6
4Х + 24 + Х + 6 = Х- 6 + Х + 6
5Х + 30 = 2Х
3Х = 30
Х = 30: 3
Х = 10 вагонов было в первом составе. 10 + 12 = 22 вагона было во втором составе
10 - 6 = 4 вагона стало в первом
22 - 6 = 16 вагонов стало во втором
Проверка:
16 : 4 = 4 в 4 раза стало больше во втором
Х - 6 + Х + 12 - 6 и получим:
(Х - 6) * 4 + Х + 12 - 6 = Х - 6 + Х + 12 - 6
4Х + 24 + Х + 6 = Х- 6 + Х + 6
5Х + 30 = 2Х
3Х = 30
Х = 30: 3
Х = 10 вагонов было в первом составе. 10 + 12 = 22 вагона было во втором составе
10 - 6 = 4 вагона стало в первом
22 - 6 = 16 вагонов стало во втором
Проверка:
16 : 4 = 4 в 4 раза стало больше во втором
lizakan811:
большое спасибо)))
незачто)
Ответ дал:
2
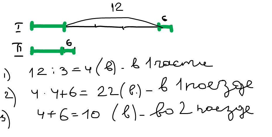
При помощи отрезков чертим зависимость вагонов 1 и 2 составов.
Подробнее смотри на рисунке.
Подробнее смотри на рисунке.
Приложения:
спасибо
Вас заинтересует
2 года назад
2 года назад
2 года назад
2 года назад
7 лет назад
7 лет назад
9 лет назад