• Предмет: Алгебра
  • Автор: holypanda
  • Вопрос задан 3 года назад

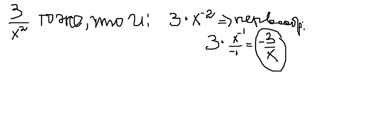
Как найти первообразную для 3/x^2

Ответы

Ответ дал: martiemiliya
1
смотри решение во вложении. думаю так.
Приложения:

holypanda: а куда делать степень -2?
martiemiliya: там есть формулы по первообразной. так вот если есть степень ,то она вычисляется как n+1(cтепень),в данном случае : -2+1=-1
holypanda: спасибо
Вас заинтересует