Ответы
Ответ дал:
1
Сумма корней

Приложения:
Florida777:
У вас ошибка....
Ответ дал:
1
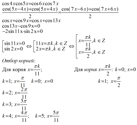
cos4xcos5x-cos6xcos7x=0
1/2cosx+1/2cos9x-1/2cosx-1/2cos13x)=0
1/2cox9x-1/2cos13x=0
cos9x-cos13x=0
-2sin(-2x)sin11x=0
sin2x=0⇒2x=πn⇒x=πn/2
0≤πn/2≤π/2
0≤n≤1
n=0 x=0
n=1 x=π/2
sin11x=0⇒11x=πn⇒x=πn/11
0≤πn/11≤π/2
0≤n≤5 1/2
n=0 x=0
n=1 x=π/11
n=2 x=2π/11
n=3 x=3π/11
n=4 x=4π/11
n=5 x=5π/11
0+π/2+0+π/11+2π/11+3π/11+4π/11+5π/11=π/2+15π/11=41π/22
1/2cosx+1/2cos9x-1/2cosx-1/2cos13x)=0
1/2cox9x-1/2cos13x=0
cos9x-cos13x=0
-2sin(-2x)sin11x=0
sin2x=0⇒2x=πn⇒x=πn/2
0≤πn/2≤π/2
0≤n≤1
n=0 x=0
n=1 x=π/2
sin11x=0⇒11x=πn⇒x=πn/11
0≤πn/11≤π/2
0≤n≤5 1/2
n=0 x=0
n=1 x=π/11
n=2 x=2π/11
n=3 x=3π/11
n=4 x=4π/11
n=5 x=5π/11
0+π/2+0+π/11+2π/11+3π/11+4π/11+5π/11=π/2+15π/11=41π/22
41п/22 ответ
41п/22 не в ходит в промежуток
Задание читали?Там нужно сумму корней найти...У вас уравнение неверно...Посмотрите как выше.У меня так же получилось.
Почему?
Вас заинтересует
2 года назад
2 года назад
2 года назад
2 года назад
7 лет назад
7 лет назад
9 лет назад