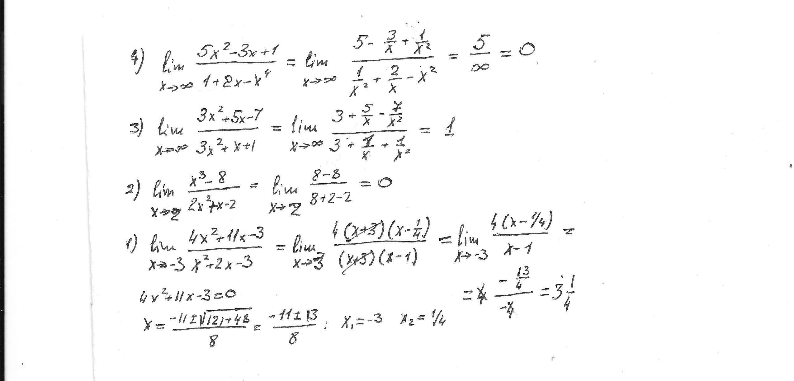
1) lim(x стремится к-3) 4x в квадрате + 11x - 3/x в квадрате+2x-3. 2) lim(x стремится к 2) x в кубе - 8/2x в квадрате + x - 2. 3) lim(x стремится к бесконечности) 3x в квадрате + 5x -7/3x в квадрате + x + 1. 4) lim(x стремится к бесконечности) 5x в квадрате - 3x + 1/1 + 2x - x в четвертой степени.
Ответы
Ответ дал:
0
ответы в файле..............................
Приложения:

Вас заинтересует
2 года назад
8 лет назад
8 лет назад
10 лет назад
10 лет назад
10 лет назад