Помогите решить хотя бы один пример! Заранее громадное спасибо!!!
Приложения:

GwendolynShepherd:
Вам тему объяснить?
Ответы
Ответ дал:
1
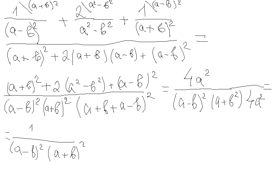
У меня получилось так!
Приложения:

Вас заинтересует
2 года назад
2 года назад
2 года назад
7 лет назад
7 лет назад
9 лет назад