• Предмет: Математика
  • Автор: Polina15200
  • Вопрос задан 3 года назад

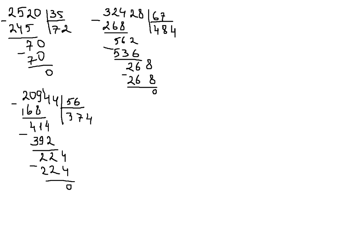
нужно решить примеры в столбик 2520:35 32428:67 20944:56


mtanya98: И как я напишу тут столбик

Ответы

Ответ дал: Cawkaaa
33
ответ во вложении ниже
Приложения:

mtanya98: Что нужно делать чтобы отправить фото?
mtanya98: Как вложить фото ?
Ответ дал: olespudlyk
9
2520:35=72
32428:67=484
20944:56=374

Polina15200: нужно было в столбик!
Вас заинтересует