• Предмет: Математика
  • Автор: Horan1
  • Вопрос задан 3 года назад

Упростите.
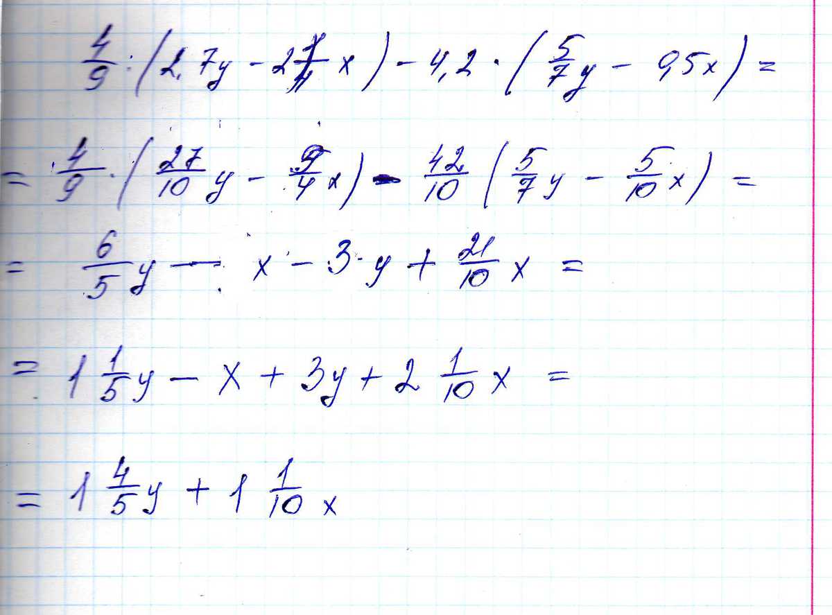
в) 4/9*(2,7у-2 1/4х)-4,2*(5/7у-0,5х)

Ответы

Ответ дал: настастья
6
................................
Приложения:

Horan1: спасибо!!!
Horan1: а как ты получила 6/5?
Вас заинтересует