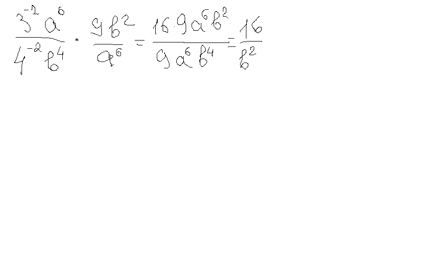
представить в виде выражения , которое не содержит степень с отрицательным показателем
Приложения:

Ответы
Ответ дал:
1
Удачи во освоении математики!
Приложения:

Вас заинтересует
2 года назад
2 года назад
2 года назад
2 года назад
7 лет назад
7 лет назад
9 лет назад