• Предмет: Математика
  • Автор: 5855856
  • Вопрос задан 3 года назад

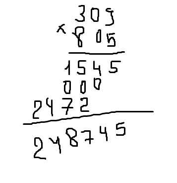
как решить пример в столбик 309 ×805

Ответы

Ответ дал: shaytan111
4
перемножай поочереди сначала 5 на 309, потом сместись на один знак влево перемножай 0 на 309, и затем еще на знак сместись влево перемножай 8 на 309.
Приложения:
Вас заинтересует