Ответы
Ответ дал:
0
Решение 9 номера..................
Приложения:
Ответ дал:
0
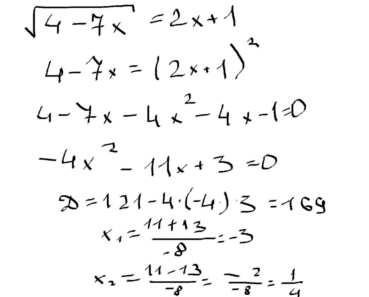
номер 9
1. обе части возводим в квадрат
получим: 4-7х=4х^2+4х+1
2. переносим всё в одну сторону и решаем
получится уравнение: -4х^2-11х+3=0
умножаем на (-1), чтобы убрать знак минус: 4х^2+11х-3=0
находим D и корни уравнения: -3 и 0,25
1. обе части возводим в квадрат
получим: 4-7х=4х^2+4х+1
2. переносим всё в одну сторону и решаем
получится уравнение: -4х^2-11х+3=0
умножаем на (-1), чтобы убрать знак минус: 4х^2+11х-3=0
находим D и корни уравнения: -3 и 0,25
anverz:
ой, только сейчас увидела, что есть ответ уже
а можешь 11 сделать плиз
Вас заинтересует
2 года назад
2 года назад
7 лет назад
9 лет назад
9 лет назад