• Предмет: Алгебра
  • Автор: karinkpggk
  • Вопрос задан 3 года назад

помогите срочно!прошу

Приложения:

Ответы

Ответ дал: romaraus
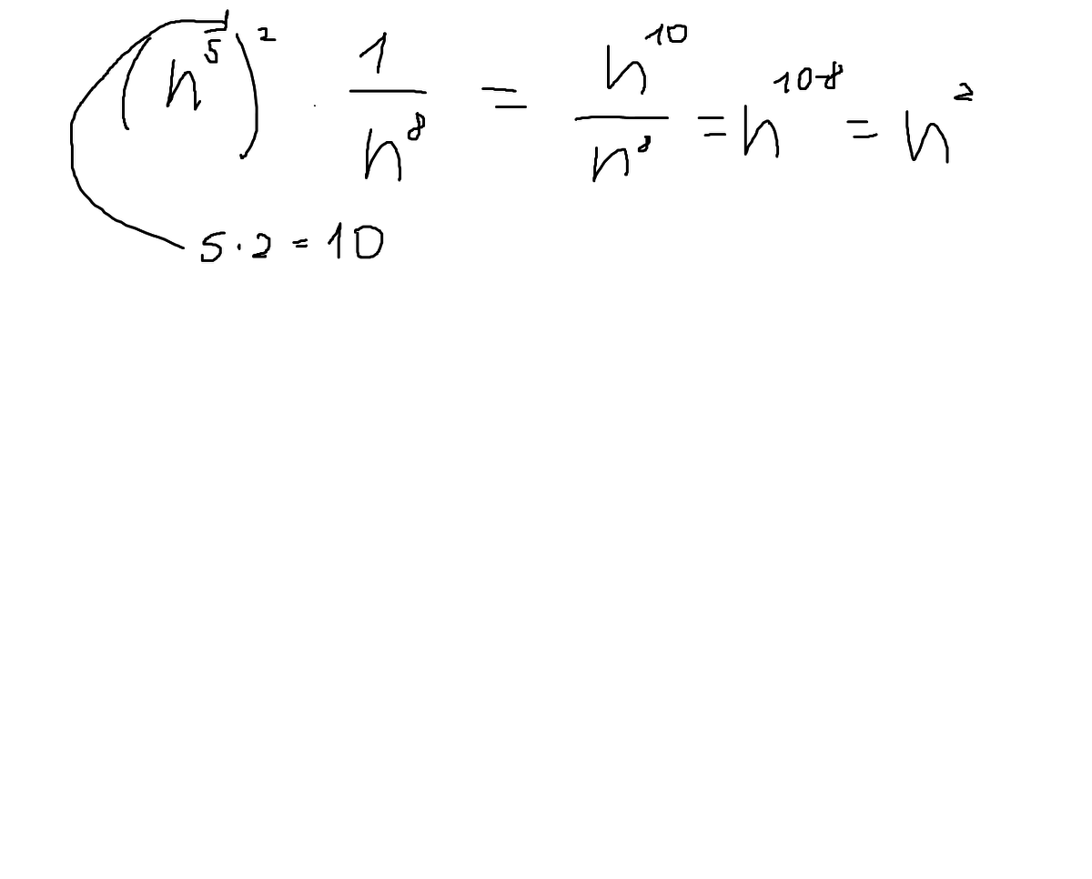
1
n^10/n^8=n^2
5^2=25
/////////////
Приложения:

karinkpggk: а как же так получилось? то есть мы раскрыли скобку и получили дробную черту а знаменателе получили n8?
karinkpggk: просто я бы хотела понять как такое решается
romaraus: Теперь понятно?
karinkpggk: да,спасибо большое)
Вас заинтересует