• Предмет: Алгебра
  • Автор: Аноним
  • Вопрос задан 3 года назад

Решите пожалуйста)Очень нужно(((

Приложения:

Ответы

Ответ дал: Аноним
0
Фотография......................
Приложения:
Ответ дал: kytanidze
0
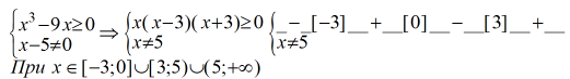
при х³ -9х≥0       
х-5≠0                    х≠5           х=0     х=3       х=-3 выражение имеет смыcл
Вас заинтересует