• Предмет: Алгебра
  • Автор: Mustikka97
  • Вопрос задан 3 года назад

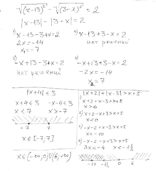
Помогите решить уравнение и неравенстава

Приложения:

Ответы

Ответ дал: математик2011
1
Хотелось бы сравнить с другими ответами
Приложения:
Вас заинтересует