• Предмет: Алгебра
  • Автор: mlsom
  • Вопрос задан 3 года назад

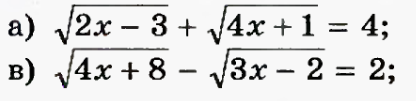
2 уравнения. пожалуйста.

Приложения:

Ответы

Ответ дал: kirichekov
1
----------------------------------------------------------
Приложения:

mlsom: огромное спасибо Вам.
Вас заинтересует