• Предмет: Алгебра
  • Автор: LenaLena12345
  • Вопрос задан 3 года назад

СРОЧНО!!!!! ПОМОГИТЕ ПОЖАЛУЙСТА!!!
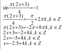
Sin pi(2x+3) / 4 = -1

Ответы

Ответ дал: Аноним
0
Фотография............................
Приложения:
Вас заинтересует