Помогите решить систему рациональных уравнений, методом алгебраического сложения.
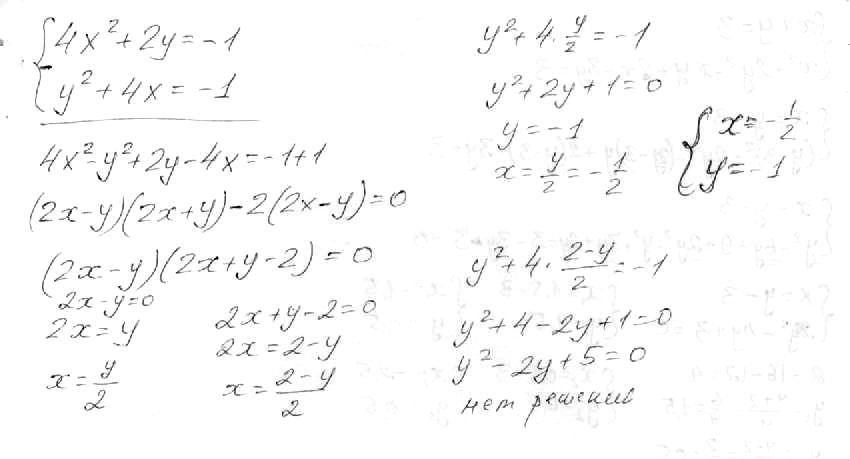
4x²+2y=-1
y²+4x=-1
математик2011:
Это возведение в степень?
Ответы
Ответ дал:
1
Ну, как-то так! Но мне кажется, что очень мудрёно!?!?!
Приложения:

Вас заинтересует
2 года назад
2 года назад
2 года назад
2 года назад
7 лет назад