• Предмет: Алгебра
  • Автор: lovedi123
  • Вопрос задан 3 года назад

Помогите пожалуйста задание во вложений под буквой В Г

Приложения:

Ответы

Ответ дал: Аноним
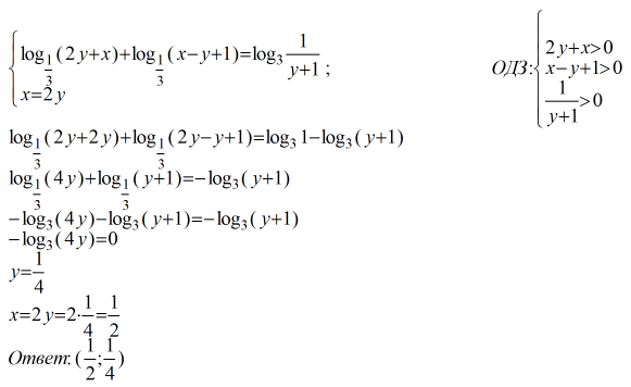
1
Подробное решение смотрите на фото
Приложения:
Вас заинтересует