• Предмет: Алгебра
  • Автор: Аноним
  • Вопрос задан 3 года назад

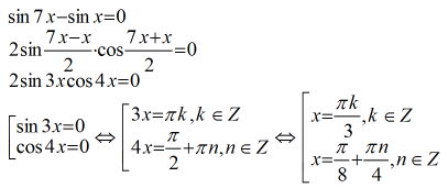
sin7x-sinx=0<br /><br />
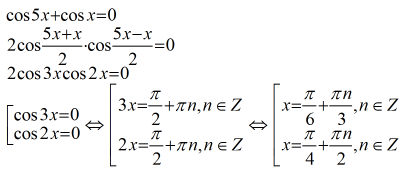
cos5x+cosx=0

Ответы

Ответ дал: Аноним
4
Фотография..........................
Приложения:

Аноним: Спасибо
Вас заинтересует