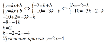
Прямая у=kx+b проходит через точки а(1;-2) и В(-3;-10).составьте уравнение данной прямой, заранее спасибо
Ответы
Ответ дал:
6
Решение подробное во вложении.........
Приложения:
Вас заинтересует
2 года назад
2 года назад
2 года назад
2 года назад
7 лет назад
7 лет назад
9 лет назад