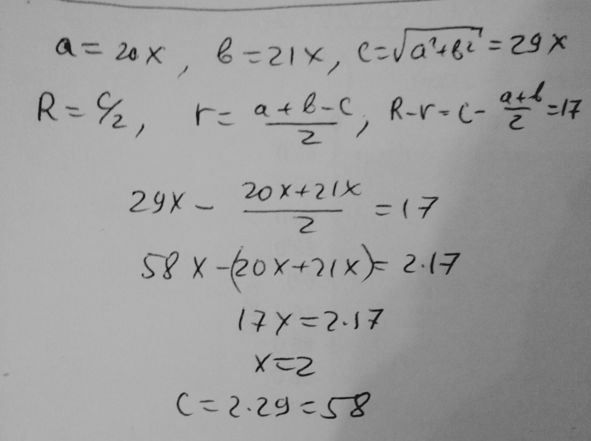
катети прямокутного трикутника відносяться як 20:21, а різниця між радіусами описаного та вписаного кіл дорівнює 17 см. Знайдіть гіпотенузу трикутника.
Ответы
Ответ дал:
20
Пусть катеты равны a и b, гипотенуза равна с, радиусы вписанной и описанной окружностей равны r и R соответственно. Тогда решение в картинке. Ответ: c=58.
Приложения:

Вас заинтересует
2 года назад
2 года назад
2 года назад
2 года назад
7 лет назад
7 лет назад
9 лет назад
9 лет назад