• Предмет: Алгебра
  • Автор: cerov946
  • Вопрос задан 3 года назад

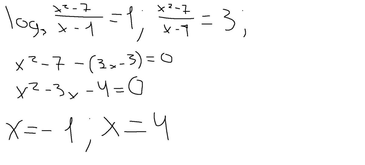
log3(x^2-7)-log3(x-1)=1

Ответы

Ответ дал: lod30
12
Смотри изображение...
Приложения:
Вас заинтересует