Ответы
Ответ дал:
5
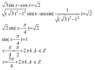
Решение смотрите в приложени................
Приложения:

Вас заинтересует
2 года назад
2 года назад
2 года назад
7 лет назад
9 лет назад