• Предмет: Математика
  • Автор: Аноним
  • Вопрос задан 3 года назад

10 БАЛЛОВ.Решите, пожалуйста. Сразу ответ не надо, мне важно решение.

Приложения:

Ответы

Ответ дал: Аноним
1
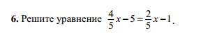
4\5х-5=2\5х-1
4\5х-2\5х=-1+5
2\5х=4
х=4:2\5
х=4*5\2
х=10
Проверка:
4\5*10-5=2\5*10-1
4*2-5=2*2-1
8-5=4-1
3=3
Вас заинтересует