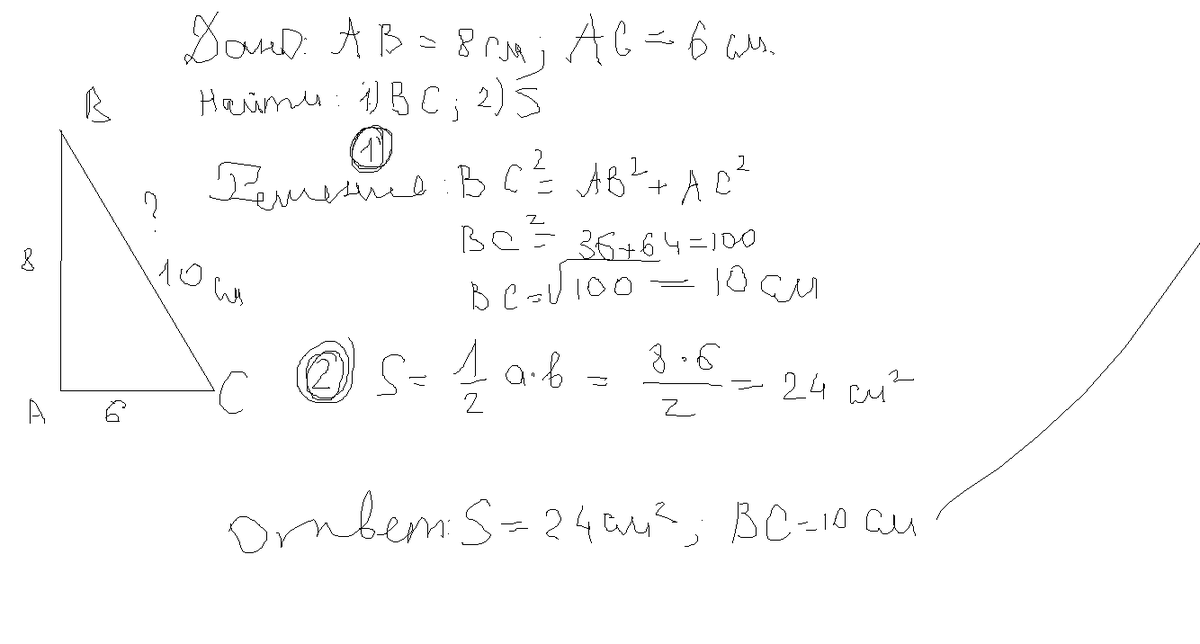
Катеты прямоугольного треугольника равны 6см и 8 см. Найти гипотенузу и площадь треугольника.дайте решение пожалуйста и Дано
Ответы
Ответ дал:
0
дано: прямоугольный треугольник АВС
угол С = 90 градусов
АС=6.СВ=8
Найти: АВ, плохадь АВС
решение:
по теореме пифагора 36 + 64= АВ2
отсюда АВ= 10
площать = 6*8:2=24
Ответ дал:
0
Вот смотри....................
Приложения:

Вас заинтересует
2 года назад
8 лет назад
8 лет назад
10 лет назад
10 лет назад
10 лет назад