• Предмет: Алгебра
  • Автор: bananaaaaaaaaaaaaaaa
  • Вопрос задан 3 года назад

найдите высоты равностороннего треугольника со стороной а

Ответы

Ответ дал: grisha4121
1
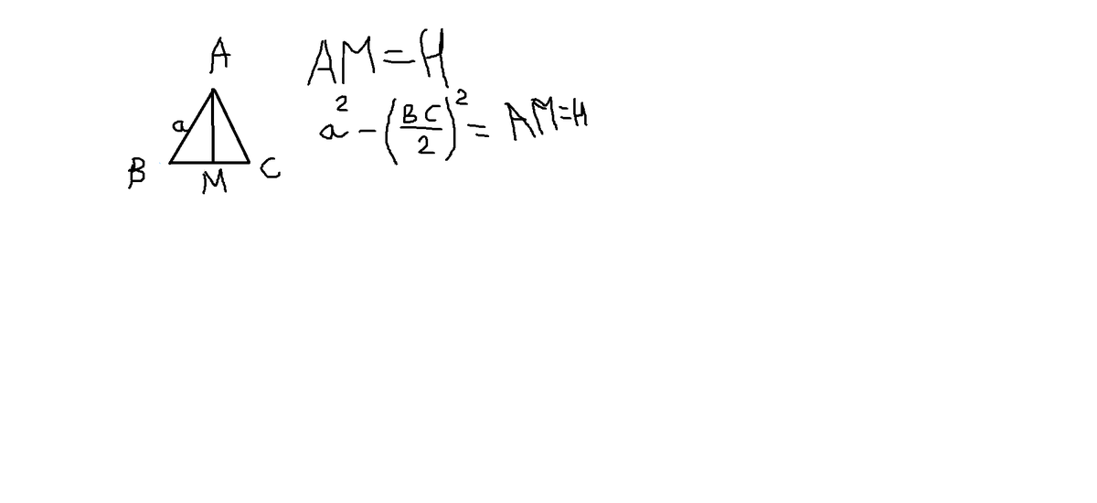
Проведем высоту. Она также будет являться и медианой, так как треугольник является равнобедренным. Далее по теореме Пифагора

Приложения:

bananaaaaaaaaaaaaaaa: а можешь по подробнее
Maliknenavizhuege: это по теореме пифагора
Maliknenavizhuege: поищи . как найти сторону прямоугольного треугольника
Ответ дал: Maliknenavizhuege
3
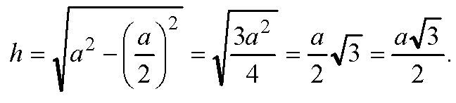
вот я отправил фото посмотрите . я это пишу потому что не меньше 20 символов нужно
Приложения:

Maliknenavizhuege: AM в квадрате = H в квадрате
Maliknenavizhuege: и все
bananaaaaaaaaaaaaaaa: 'nj gjkexftnmcz jndtn&
bananaaaaaaaaaaaaaaa: это получаеться ответ конечный да?
Maliknenavizhuege: на русском напиши
Maliknenavizhuege: да
bananaaaaaaaaaaaaaaa: слушай ты не мог бы помочь еще с задачами?
Maliknenavizhuege: какие именно ? я не математик . но все же многое по геометрии умею . пожалуй помогу
bananaaaaaaaaaaaaaaa: расстояния от одного конца диаметра окружности до концов параллельной ему хорды равны 84 см и 13 см. Найдите длину данной окружности и ее радиус.
Maliknenavizhuege: это не понимаю
Вас заинтересует