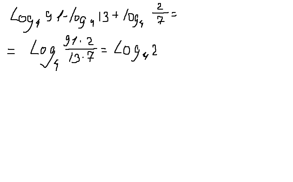
Решите пожалуйста Log4 91 - log4 13 + log4 2/7 (Желательно с объяснением)
Правее логорифма основание
Ответы
Ответ дал:
6
Здесь нужно использовать св-ва логарифма. Когда они складыаются с одинаковым основаниями, значит умножаются, если вычитаются, значит делятся.
:)
:)
Приложения:

Usless:
Спасибо,призабыл
Вас заинтересует
2 года назад
2 года назад
2 года назад
2 года назад
7 лет назад
7 лет назад
9 лет назад
9 лет назад