Системы способом подстановки
|x-y=2
|2x-3y=-1
|8x-3y=7
|3x+y=9
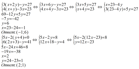
|3(x+2y)-y=27
|4(x+y)-3x=23
|5x-2(y+4)=0
|6(2x+3)-y=41
Ответы
Ответ дал:
2
************************************
Приложения:


Вас заинтересует
2 года назад
2 года назад
2 года назад
2 года назад
7 лет назад
7 лет назад
9 лет назад