Ответы
Ответ дал:
0
*********************************
Приложения:

Giloser:
Спасибо)
Ответ дал:
0
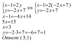
x-1=2(-2x+7)
y=-2x+7
x=-4x+15
y=-2x+7
5x=15
y=-2x+7
x=3
y=-2*3+7
x=3
y=1
y=-2x+7
x=-4x+15
y=-2x+7
5x=15
y=-2x+7
x=3
y=-2*3+7
x=3
y=1
Вас заинтересует
2 года назад
2 года назад
7 лет назад
9 лет назад