• Предмет: Алгебра
  • Автор: Лакрей
  • Вопрос задан 11 лет назад

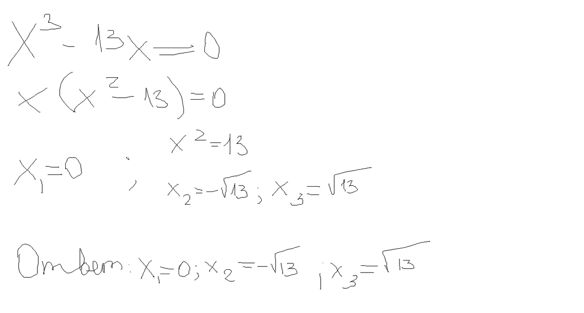
решите уравнение пожалуйста x в кубе - 13x = 0

Ответы

Ответ дал: Boris77777
0

Вот смотри.....................

Приложения:
Вас заинтересует