• Предмет: Алгебра
  • Автор: niasha98
  • Вопрос задан 3 года назад

Не могу решить( помогите, пожалуйста))))
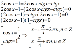
2cosX-1=2cosX*ctgX-ctgX

Ответы

Ответ дал: Аноним
2
***********************************
Приложения:

niasha98: Спасибо большое!!!!
Вас заинтересует