Ответы
Ответ дал:
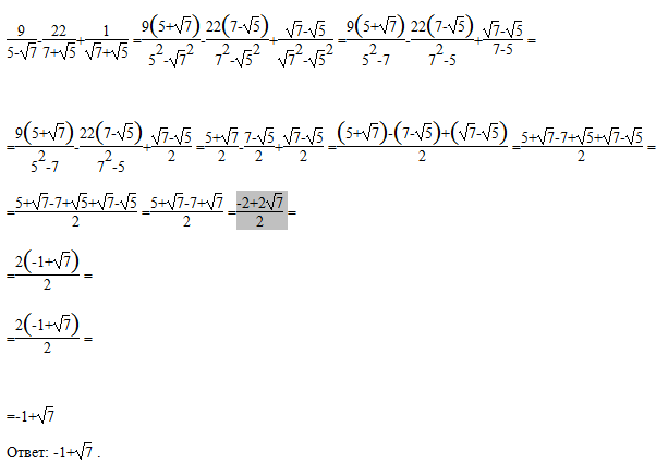
0
***********************************
Приложения:

Вас заинтересует
2 года назад
2 года назад
2 года назад
7 лет назад
9 лет назад