• Предмет: Алгебра
  • Автор: relenaden
  • Вопрос задан 3 года назад

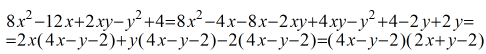
Разложить на множители

8x^2-12x+2xy-y^2+4

Ответы

Ответ дал: Аноним
1
***********************************
Приложения:
Вас заинтересует