• Предмет: Математика
  • Автор: 0912angel
  • Вопрос задан 11 лет назад

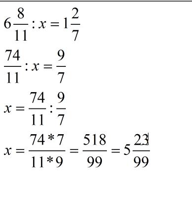
Помогите решить уравнение 6 целых 8/11:х=1целая2/7

Ответы

Ответ дал: triolana
0

===================================================

Приложения:
Вас заинтересует