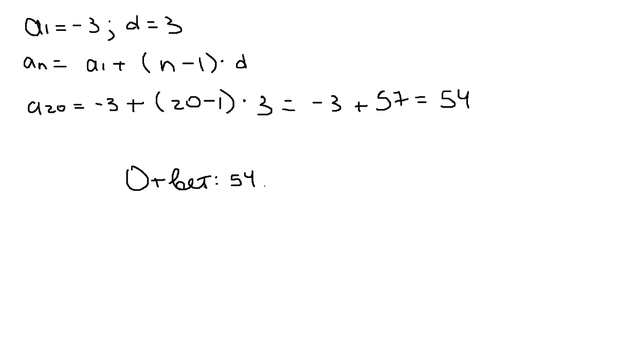
Арифметическая прогрессия задана своим первым членом а1=-3 и разностью d=3.Найти двенадцатый член этой прогрессии
Ответы
Ответ дал:
1
держи
что не понятно- пиши
что не понятно- пиши
Приложения:

МестьЗаВсе:
Там получается не 20-1, а 12-1,т.к. 12 член прогрессии, ты ошибься
Вас заинтересует
2 года назад
2 года назад
2 года назад
7 лет назад
7 лет назад
9 лет назад