• Предмет: Геометрия
  • Автор: эдж
  • Вопрос задан 11 лет назад

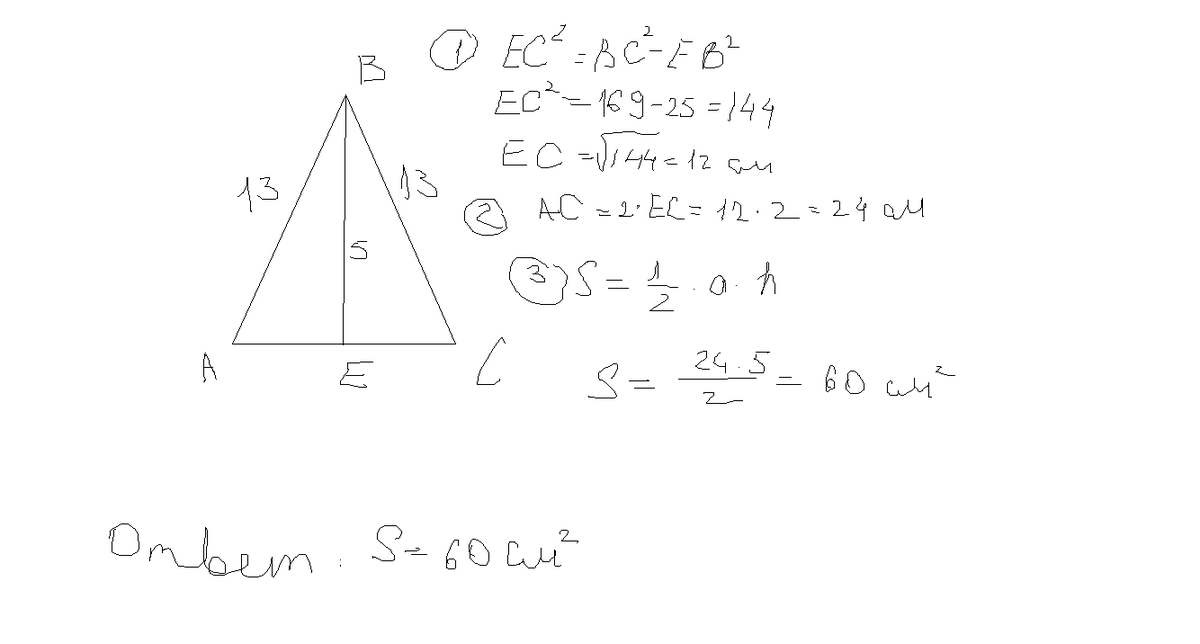
В равнобедренном треугольнике боковая сторона равна 13 см, а высота проведенная к основанию 5 см.Найди площадь треугольника.

Ответы

Ответ дал: Boris77777
0

Вот смотри.........................

Приложения:
Вас заинтересует