• Предмет: Алгебра
  • Автор: Alex21000
  • Вопрос задан 3 года назад

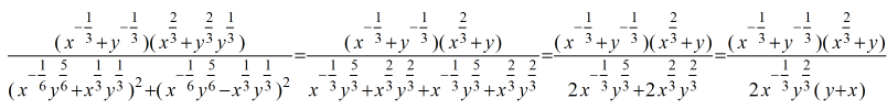
Помогите решить. Алгебра 9 класс

Приложения:

Kulakca: У меня разом всё сократилось )
Kulakca: А нет.
Kulakca: Я облажался походу
Kulakca: Слушай, тебе мой преподаватель не написал ещё? )
Аноним: написал.
Kulakca: А то написано, что был 20 минут назад ) Иди проверь
Kulakca: напиши в личку, что он написал
Аноним: Задачник, а вы имеете ответ?
Kulakca: ручка с листком появилась, дай ка я сейчас там решение закончу
Kulakca: А то здесь уже глаза устали

Ответы

Ответ дал: Kulakca
0
(x^(1/3) + x^(-1/3) * y + x^(2/3) * y(-1/3) + y^(2/3) ) / 4x^(-1/3)y^(5/3) *
Ответ дал: Аноним
1
*********************************
Приложения:

Kulakca: поставьте ему лучшее ) Он старался, он знающий человек ;)
Аноним: :D
Kulakca: глянь на моё решение, Андрюха ;)
Вас заинтересует